Смесительный узел для теплого пола

Применение системы «теплый пол» для отопления помещений уже закончило быть новаторством. Многие оборудуют теплыми полами, если не весь дом, то отдельные помещения, например, ванную или гостиную.
Разумеется, в один миг с теплыми полами используются и другие отопительные устройства, например, обычные всем радиаторы. «Утепленные полы» относятся к низкотемпературным отопительным системам, а радиаторы отопления – к высокотемпературным, исходя из этого неотклонимым элементом в системе теплого пола есть смесительный узел теплого пола. Основная функция разрешённого узла – соединять, что и следует из наименования. Зачем нужен смесительный узел, что с чем он смешивает, каковой принцип его работы, и метод монтажа и опции – все это мы поведаем в данной статье. Не считая этого приведем примеры рабочих схем установки смесительного узла в контур отопления и обозначим аспекты.
Зачем нужен смесительный узел для теплого пола Как работает узел подмеса для теплого пола Смесительный узел с двухходовым клапаном Смесительный узел с трехходовым клапаном Схема смесительного узла теплого пола Настройка смесительного насосного узла для теплого пола
Зачем нужен смесительный узел для теплого пола
Необходимо сразу уточнить, что смесительный узел нужен только для водяной системы теплого пола, так как в ней течет тот же теплоноситель, что и в радиаторах отопления. Почти всегда, система отопления организована так: один котел, нагревающий теплоноситель, контур высокотемпературных радиаторов и контур или пара контуров водяного теплого пола.
Котел, естественно, нагревает воду до той температуры, которая требуется для высокотемпературных радиаторов. Существенно чаще это девяносто 5 °С, но временами используются радиаторы для температуры восемьдесят 5 – 70 5 °С. По санитарным нормам температура поверхности пола не должна быть больше 30 один °С, это связано со обилием событий, и сначала с комфортабельным нахождением на напольном покрытии, чтобы не было ни холодно, ни горячо. Беря во внимание толщину стяжки пола, в какой вмурованы трубы системы «теплый пол», и толщину и тип напольного покрытия, температура теплоносителя в трубах теплого пола должна быть 35 – 55 °С и не выше. Разумно высказать предположение, что в контур отопления теплого пола нельзя направлять воду из котла, так как ее температура через чур огромна. Что все-таки делать? Как снизить температуру теплоносителя?
Как раз с целью снизить температуру теплоносителя на входе в контур теплого пола употребляется узел смешения для теплого пола. В нем смешивается тёплый теплоноситель и поболее прохладный теплоноситель обратки теплого пола. Как следствие, средняя температура делается ниже, теплоноситель подается в контур. Все контуры отопления в доме работают корректно: в радиаторный контур подается тёплая вода температурой девяносто 5 °С, а в контур теплого пола – с температурой 55 °С.
В случае если вас интересует вопрос, можно ли обойтись без смесительного узла и в каких обстановках, то ответим – такое возможно. В случае если отопление во всем доме выполнено средством низкотемпературных контуров, а источник тепла подогревает теплоноситель только для системы отопления до данной температуры, то смесительные узлы можно не использовать. Примером такой системы отопления можно применение воздушного термического насоса. В случае если же источник тепла нагревает воду не только для теплых полов, да и для душа, температура которого – шестьдесят 5 – 70 5 °С, то установка смесительного узла неотклонима.
Как работает узел подмеса для теплого пола
Условно работу смесительного узла можно описать так: тёплый теплоноситель доходит до коллектора теплого пола и упирается в предохранительный клапан с термостатом, в случае если его температура выше требуемой, клапан срабатывает и открывает подачу холодной обратки, происходит подмес – смешивание тёплого и холодного теплоносителя. Когда температура добивается требуемых значений, снова срабатывает клапан и перекрывает подачу тёплого теплоносителя. Более тщательно работу узла мы рассмотрим ниже, так как она можно организована 2-мя дорогами.
Коллекторный узел для теплого пола помогает не только для регулировки температуры теплоносителя, да и для обеспечения его циркуляции в контуре. Исходя из этого коллекторный узел складывается из 2-ух главных частей:
- Предохранительный клапан, о котором мы уже гласили. Он подпитывает контур отопления теплого пола жарким теплоносителем ровно потому что это необходимо, контролируя температуру на входе.
- Циркуляционный насос, который снабжает движение воды в контуре теплого пола с данной скоростью. Это гарантирует, что нагрев всей площади теплого пола будет равномерным.
Не считая главных частей в смесительный узел сумеют заходить: байпас, который защищает узел от перегрузок, дренажные и отсекающие клапаны и воздухоотводчики. Исходя из этого коллекторный смесительный узел можно выполнен различными способами зависимо от задач.
Смесительный узел устанавливается постоянно до контура теплого пола, но само место его установки можно различным. Например, его можно оборудовать непосредственно в помещении с теплым полом, в котельной на разделении коллекторов, идущих в высокотемпературный и низкотемпературный контур. В случае если же помещений с теплыми полами большое количество, то смесительные узлы инсталлируются в каждом помещении раздельно или в не далеком коллекторном шкафу.
Главное различие в работе смесительных узлов содержится в том, что в их можно использовать разные предохранительные клапаны. Самыми распространенными являются 3-х ходовые клапаны и 2-х ходовые клапаны.
Смесительный узел с двухходовым клапаном

Двухходовый клапан временами еще называют питающим клапаном. На этом клапане установлена термостатическая головка с жидкостным датчиком, который постоянно держит под контролем температуру теплоносителя, поступающего в контур теплого пола. Головка открывает и закрывает клапан, и так додаёт или отсекает подачу тёплого теплоносителя, идущего от котла отопления.
Выходит, что смешение теплоносителей происходит так – теплоноситель из обратки подается постоянно, а тёплый теплоноситель подается только, в то время, когда необходимо, т.е. Его подача регулируется клапаном. Вследствие этого теплый пол ни в коем случае не перегревается и срок его эксплуатации продлевается. Двухходовый клапан обладает малой пропускной свойством, по этому регулирование температуры теплоносителя происходит плавненько, без больших скачков.
Большая часть профессионалов по монтажу теплых полов предпочитают устанавливать в теплый пол водяной смесительный узел с двухходовым клапаном. Но существует ограничение – их не надо устанавливать, в случае если отапливаемая площадь больше двести м2.
Смесительный узел с трехходовым клапаном

Трехходовый клапан совмещает внутри себя функции питающего перепускного клапана и байпасного балансировочного крана. Главное его отличие в том, что он смешивает в себя тёплый теплоноситель с холодной обраткой. Трехходовые клапаны часто оснащаются сервоприводами, какие правят термостатическими устройствами и погодозависимыми контролерами. В для того чтобы клапана находится заслонка, которая находится в зоне девяносто ° между трубой подачи тёплого теплоносителя от котла и трубой от обратки. Можно выставлять хоть какое положение – срединное или с уклоном в одну из сторон зависимо от подходящего соотношения консистенции обратки и горячей воды.
Считается, что такой тип клапанов универсален и незаменим в системах отопления с погодозависимыми контролерами и просто в широкомасштабных системах с обилием контуров.
Не считая этого следует обозначить недочеты трехходовых клапанов. Во-первых, не исключается случай, в то время, когда по сигналу от термостата трехходовый клапан раскроется и разрешит войти тёплый теплоноситель с температурой девяносто 5 °С в контур теплого пола. Большие скачки температуры недопустимы в эксплуатации теплых полов, трубы сумеют разорваться от лишнего давления. Во-вторых, по обстоятельству хорошей пропускной свойстве трехходовых клапанов не считая того малое смещение в регулировке клапана приведет к большому трансформации температуры в контуре.
Зачем употребляется погодозависимая арматура? Чтобы изменять мощность системы «теплый пол» зависимо от погодных критерий. Например, при резком снижении температуры за бортом помещение остывает стремительнее, соответственно, теплый пол не будет управляться с задачей отопления дома. Чтобы повысить его эффективность, необходимо расширить температуру теплоносителя и расход.

Разумеется, можно использовать клапаны с ручным управлением и любой раз при трансформации температуры вручную подкручивать вентиль. Но установить лучший режим так трудно. Исходя из этого используются клапаны с автоматическим управлением. Погодозависимый контроллер вычисляет подходящую температуру и управляет клапаном очень плавненько. Целый диапазон девяносто ° разбит на 20 участков по 4,5 °. Контроллер держит под контролем температуру каждые 20 секунд, и в случае если фактическая температура теплоносителя, подающегося в теплый пол, не соответствует расчетной, то контроллер поворачивает клапан на 4,5 ° в подходящую сторону.
Не считая этого контроллер разрешает сберегать на энергоэлементах. В случае если все жильцы дома отсутствуют, он понижает температуру дома и поддерживает ее в границах данного значения.
Схема смесительного узла теплого пола
Ниже представлены самые пользующиеся популярностью схемы смесительных узлов, но в реальности их намного больше. Смешение теплоносителей можно создавать как до коллекторов, так и непосредственно на каждом отводе коллекторных групп. Вместе с этим каждую коллекторную группу необходимо будет оборудовать своими термостатами, расходомерами и клапанами.
Схемы смесительных узлов (так смотрится узел теплого пола в сборе):
Смесительный узел для теплого пола Valtec для 1-го контура (до 20 метров2.)

Смесительный узел для теплого пола Valtec для 1-го контура (до 20 метров2.) с автоматической регулировкой

Коллектор теплого пола Valtec для два — четыре контуров (20-60 м2.)

Смесительный узел для теплого пола Valtec для два — четыре контуров (20-60 м2.) с автоматической регулировкой

Коллектор теплого пола Valtec для 3-12 контуров (30-150 м2.)

Балансировочный клапан вторичного контура.

Средством балансировочного клапана производится регулировка соотношения издержек тёплого теплоносителя и холодного теплоносителя из обратки. Фактически задается температура в контуре теплого пола. Поворот клапана производится средством шестигранного ключа. Чтобы случаем не сдвинуть положение клапана, он фиксируется средством зажимного винта. Не считая этого на клапане имеется шкала расхода – пропускной свойстве клапана от нуль до 5 метров3/час.
Балансировочно-запорный клапан радиаторного контура.

Данный клапан употребляется для связки смесительного узла со всеми остальными элементами системы. Клапан поворачивается не считая этого средством шестигранного ключа.
Перепускной клапан.

Это предохранительный клапан, задачка которого защищать насос от режима, при котором проток теплоносителя через него завершается. Данный клапан срабатывает, в случае если давление в системе снижается до данного значения. Значение устанавливается ручкой.
Схемы установки смесительных узлов:

Не считая этого схемы отличаются зависимо от того, однотрубная система отопления или двухтрубная. Например, при однотрубной системе байпас постоянно в открытом положении, чтобы часть тёплого теплоносителя всегда могла следует далее по направлению к радиаторам (фото ниже).

В двухтрубной системе отопления байпас закрыт, так как в нем нет необходимости (фото ниже).

Направьте внимание, что коллекторную группу теплого пола не непременно устанавливать до радиаторного контура. В случае если площадь дома не через чур огромная и падение температуры теплоносителя не через чур огромно, то коллектор со смесительным узлом можно устанавливать на обратке радиаторного контура.
Настройка смесительного насосного узла для теплого пола
По окончании установки смесительного узла в согласовании с избранной схемы его работу необходимо отрегулировать. Сама установка довольно легкая, необходимо только подсоединить трубы друг дружке, а вот настройка востребует объяснений.
Термоголовку или сервопривод необходимо снять, чтобы они не повлияли на узел в процессе опции.

Перепускной клапан следует выставить в большое положение – 0,6 бар. В случае если случаем клапан сработает в процессе опции, то результат будет неправильным. Исходя из этого его следует установить в такое положение, при котором он не сработает.

Позже следует вычислить положение балансировочного клапана контура теплого пола. Позже для удобства мы будет обозначать один – радиаторный контур, два – контур теплого пола.
Требуемая пропускная свойство балансировочного клапана рассчитывается по формуле:

Где,
T1 – температура теплоносителя в подающей трубе радиаторного контура (высокотемпературного контура);
T2подачи – температура теплоносителя в подающей трубе контура теплого пола;
T2обр – температура теплоносителя в трубе обратки контура теплого пола;
Kυт – коэффициент=0,9.
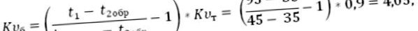
Пример расчета:
Примем что t1=95 °С, t2подачи = 45 °С, t2обр = 35 °С. Подставляем значения в формулу:

Приобретенное значение Kυб выставляем на клапане балансировки.
Позже необходимо настроить насос.
Для опции насоса необходимо вычислить расход теплоносителя в контуре теплого пола совместно с коллектором и утраты давления в контуре по окончании смесительного узла.
Расход теплоносителя в контуре теплого пола рассчитывается по формуле:

Где,
G2 – расход теплоносителя в контуре теплого пола – во вторичном контуре;
Q – сумма термических мощностей всех присоединенных по окончании смесительного узла устройств;
C – теплоемкость теплоносителя. В случае если теплоноситель вода, то с=4,2 кДж/(кг*°С);
T2подачи и t2обр температуры теплоносителя в контуре теплого пола: на трубе подачи и в обратке;
Пример расчета:

Чтобы вычислить утраты давления в контуре теплого пола, необходимо выполнить гидравлический расчет. для удобства можно пользоваться бесплатной программкой для расчетов на интернет-сайте производителя смесительных узлов, например, программкой Valtec.Prg.
По представленным ниже графикам необходимо узнать скорость насоса.

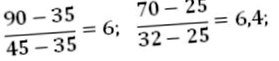
Сначала отмечаем точку, которая соответствует расходу и напору насоса. Кривая, которая находится выше взятой точки, и будет соответствовать скорости насоса. Приобретенное значение расхода = 0,86 м3/час, напор насоса = 4,05 м в.Ст.
Утраты давления в контурах по окончании смесительного узла берутся с припасом один м в.Ст.
ΔPн = ΔPс + один = 4,05 + один м в.Ст.
График насоса:

В случае если не понятно почему вычислить насос не выходит, можно пропустить данный шаг опции. Вместе с этим необходимо выставить насос в малое положение. В случае если в дальнейшем, в процессе балансировки системы выяснится, что скорости не довольно, то насос на большую скорость.
Последующий шаг – необходимо выполнить балансировку ветвей теплого пола.
Сначала необходимо закрыть балансировочно-запорный кран радиаторного (первичного) контура. Откидываем крышку с клапана и проворачиваем его до упора по часовой стрелке шестигранным ключом.
Ветки контура теплого пола балансируются средством балансировочных клапанов. В случае если по окончании смесительного узла только одна ветка – один контур теплого пола, то балансировать ничего не требуется.

Как происходит балансировка:
- Балансировочные регуляторы необходимо открыть на максимум;
- На той ветке, отклонение расхода у которой большое (фактический расход от проектного), клапан необходимо закрыть до требуемого размера.
- Таким же образом регулируются все ветки теплого пола.
- В случае если расход сбился по окончании балансировки ветвей, необходимо снова его подкорректировать.
- Если не удалось установить требуемый расход не считая того при открытых клапанах, насос необходимо перевести на более высшую скорость.
Позже необходимо увязать узел смешивания для теплого пола с остальными устройствами отопления.
Сначала открываем балансировочно-запорный клапан радиаторного контура, который мы закрыли сначала. Открыть его необходимо до того положения, которое будет пичкать требуемый расход теплоносителя.

Расход теплоносителя можно держать под контролем средством расходомеров. Не считая этого возможен вариант контроля в обратке теплого пола.
Расход теплоносителя в радиаторном контуре рассчитывается по формуле:

Все значения нам уже известны из прошедших расчетов, исходя из этого рассчитываем:

На данный момент настраиваем перепускной клапан.
Выставляем давление клапана, его значение должно быть меньше на 5 – 10 % большого давления насоса при данной скорости. Большое значение давления насоса необходимо узнать по чёрту насоса.

Перепускной клапан насоса должен раскрываться только в той ситуации, в то время, когда насос работает на нагнетание давления, а расхода воды практически нет.
На приведенном ниже графике видно, как определяется значение перепускного клапана.

При отсутствии движения воды в трубопроводе на первой скорости давление насоса 3,05 м в.Ст. Или 0,3 бара. На средней скорости – 4,5 м в.Ст. Или 0,44 бара, на большой – 5,5 м в.Ст. Или 0,54 бара.
Устанавливаем на перепускном клапане значение 0,54 – 5% = 0,51 бар.
Контролируем корректность работы смесительного узла.
Необходимо проверить равномерность прогрева ветвей теплого пола и корректность соотношения температур в контурах.
Должно производиться последующее равенство:

Индекс «р» свидетельствует, что значение расчетное, а индекс «ф» — фактическое.
В случае если равенство не производится, то следует закрыть на ¼ оборота балансировочно-запорный клапан радиаторного контура и снова снять показания и выполнить расчеты.
В случае если же равенство производится, то смесительный узел работает корректно, необходимо установить термоголовку или сервопривод на место, надеть защитные колпачки на все элементы, какие этого требуют, и затянуть винт балансировочного клапана.
Пример расчета:

Отклонение в значениях создает 6,6 %, это наименее 10 %. Означает, смесительный узел настроен правильно, можно устанавливать термоголовку и защитные колпачки и приступать к эксплуатации контура отопления.
Смесительный узел отопления устанавливается в коллекторный шкаф, который почти всегда находится в помещении с теплыми полами и рядом с ним. Вкупе с тем можно устанавливать его рядом с котлом отопления, в случае если расстояние до теплого пола не через чур огромно. Все элементы смесительного узла можно собрать без помощи других, а можно приобрести готовое изделие. Все находится в зависимости от ваших способностей и познаний.






